

-
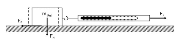
FA=物体所受拉力
-
m=物体质量
-
FF=物体运动时所受反作用力(摩擦力)
-
FN=物体重力



-
物体开始运动前的最大牵引力/物体重力即为静态摩擦力(μs)
-
物体运动时的牵引力/物体重力即为(μk)

-
输送带运动中,辊轮表面的油污和异物会严重影响皮带的运动这就是静摩擦力作用的体现。
-
不同皮带的运行面对于同一滚轮表面摩擦系数的不同也是静摩擦力作用的体现。
-
辊轮表面用橡胶等包辊材料包覆以增加辊轮与皮带的摩擦系数。
a8体育老版本是一家集生产、销售进口及国产工业皮带销售的综合性专业工业皮带公司,公司自成立以来引入现金的生产工艺,先后与国内外知名皮带制造商进行广泛的交流与合作,协作开发出众多系列的特种皮带。能全面满足不同客户、不同需求的工业用带。
主营产品:输送带、特氟龙输送带、工业传输带、PU输送带、PVC输送带、工业皮带、PU开口带、接驳型同步带、橡胶输送带、不锈钢输送网带、平面高速传送带、橡胶同步带、塑料顶板链、工业毛毯输送带、电镀硅胶带、活络带、聚酯输送干网、TPU传送带、铁氟龙输送带等各类传输带。
联系我们:
电话:0769-85994530
邮箱:[email protected]?
公司官网:
地址:中国广东省东莞市厚街镇涌口龙泉工业区
- 2026-01-15
超千家企业联合起诉特朗普关税政策,千亿关税争议进入裁决关键期! - 2026-01-14
背靠李宁、安德玛、阿迪、迪卡侬、安踏和HOKA,龙行天下为什么着急要上市? - 2026-01-13
这地汽车革需求跳水!订单危机暴击制革厂!大厂遭重创!小制革厂却能勉强存活! - 2026-01-12
安踏拟收购德国彪马29%股权 - 2026-01-09
年营收超55亿!东莞制鞋大厂启动上市! - 2026-01-08
留给女鞋的时间已经不多了!0.3%的增长,是一场集体逃亡! - 2026-01-07
新年新开局!一皮革企业通过清洁生产审核验收!有公司热火朝天赶订单 - 2026-01-06
印尼鞋厂要求,对美国实行0%关税 - 2026-01-05
重磅破局!361° 超品店规模突破126家! - 2026-01-04
鸿星尔克重磅发布 K101 无板训练跑鞋,开创 “无板练足弓” 新纪元







